Ξεκίνησε την Μεγάλη Τρίτη 7 Απριλίου 2026, η καταβολή του Μεταφορικού Ισοδύναμου προς κατοίκους των νησιών της χώρας, με στόχο την εξίσωση του κόστους μετακίνησης των νησιωτών με αυτό των κατοίκων της ηπειρωτικής χώρας. Πιο συγκεκριμένα, καταβάλλονται 22.647.180,13 ευρώ σε 261.367 ωφελούμενους, για μετακινήσεις που πραγματοποιήθηκαν το διάστημα από 1 Ιανουαρίου 2025 έως και 30 Ιουνίου 2025.
«Το Μεταφορικό Ισοδύναμο αφορά την καθημερινότητα χιλιάδων νησιωτών. Μετά την ολοκλήρωση όλων των απαραίτητων ελέγχων, ξεκινά η καταβολή των ποσών προς τους κατοίκους των νησιών, ώστε να υπάρξει ουσιαστική ανακούφιση στο κόστος μετακινήσεων. Συνεχίζουμε με πολιτικές που βελτιώνουν την ποιότητα ζωής των νησιωτών μας και στηρίζουν τη νησιωτικότητα, η οποία αποτελεί συγκριτικό πλεονέκτημα για τη χώρα μας», δήλωσε ο Υπουργός Ναυτιλίας και Νησιωτικής Πολιτικής, Βασίλης Κικίλιας.
Η πληρωμή αφορά την 42η δόση του μέτρου για επιβάτες και καλύπτει ακτοπλοϊκά και αεροπορικά ταξίδια, στο πλαίσιο της καταβολής του Αντισταθμίσματος Νησιωτικού Κόστους (Α.ΝΗ.ΚΟ.).
Η σχετική δαπάνη εντάσσεται στο Πρόγραμμα Δημοσίων Επενδύσεων 2026 και υλοποιείται μέσω της Γενικής Γραμματείας Αιγαίου και Νησιωτικής Πολιτικής, ενισχύοντας τη συνοχή του νησιωτικού χώρου και τη στήριξη της νησιωτικότητας.
Παράλληλα, έχει δοθεί εντολή για την εκτέλεση των ηλεκτρονικών εντολών πληρωμής μέσω του Πληροφοριακού Συστήματος Ε-ΠΔΕ, ώστε τα ποσά να πιστωθούν άμεσα στους δικαιούχους.
Ο Υφυπουργός Ναυτιλίας και Νησιωτικής Πολιτικής, Στέφανος Γκίκας, δήλωσε: «Σε αυτή την κρίσιμη γεωπολιτική συγκυρία, προχωρούμε σε μια σημαντική πληρωμή της δράσης του Μεταφορικού Ισοδύναμου για τους επιβάτες, εξοφλώντας το Α’ εξάμηνο του 2025. Επιδίωξή μας, μέσα από την μεταρρύθμιση του Μεταφορικού Ισοδύναμου, είναι να ενισχύσουμε την αποτελεσματικότητά του, καθώς και το αποτύπωμά του στα νησιά μας τόσο σε οικονομικό όσο και σε κοινωνικό επίπεδο».
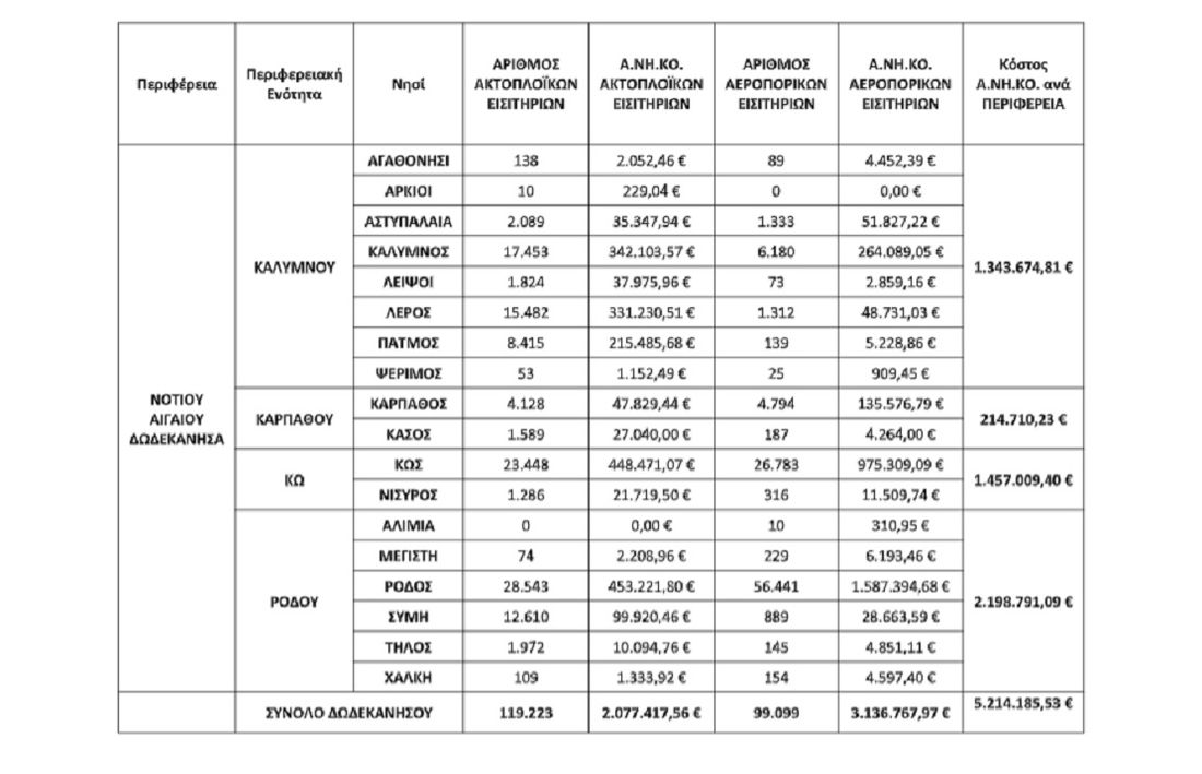
Η αναλυτική κατανομή των ποσών ανά νησί, καθώς και τα στοιχεία για τους δικαιούχους και τις επιδοτούμενες μετακινήσεις, αποτυπώνονται σε σχετικό πίνακα που συνοδεύει την ανακοίνωση, προσφέροντας πλήρη εικόνα της εμβέλειας του προγράμματος
